POCETNA STRANA

Seminarski i Diplomski Rad
 
SEMINARSKI RAD IZ FIZIKE
 

NEWTONOVI ZAKONI

Isaac NewtonPitanja o zakonitostima kretanja tijela koja međudjeluju sa okolinom osnovna su pitanja koja je moguće postaviti o svijetu oko nas. Ta su pitanja obilježila razvoj fizike krajem 19. stoljeća.
Bitne ideje i zakone koji uspješno rješavaju ovu problematiku izložio je Newton u djelu Principia (1687.). Ova su pitanja, međutim, zaokupljala patnju naučnika i u toku dva stoljeća prije Newtona.
Jedno od osnovnih pitanja u vezi sa kretanjem tijela je:
Koje je prirodno stanje kretanja tijela?
Do pronalaženja zadovoljavajućeg odgovora, datog u okviru Newtonove mehanike, trebalo je proći gotovo 2000 godina počevši od prve slike što su je razvili antički filozofi, posebno Aristotel (384. - 322. godine p.n.e.). U svom djelu Fizika raspravlja o kretanju u smislu postojanja prirodnih kretanja koja se odvijaju sama po sebi i za koja nije potreban vanjski uticaj, i neprirodnih koja se ne odvijaju sama po sebi i za koja mora postojati vanjski uticaj. Prirodna zemaljska kretanja, prema Aristotelovom shvatanju, su spuštanje ''teških'' tijela na Zemlju, dizanje ''laganih'' tijela uvis.
Aristotel je svoje zaključke donosio samo na temelju opažanja, a površan posmatrač će i danas reći da težak kamen pada na Zemlju i kad na njega ne djelujemo, a da se topli zrak ili dim diže uvis sam po sebi. Ono što još bitno nedostaje u aristotelovskoj filozofiji je:
  • predviđanje kako bi se određene pojave trebale odvijati u novoj situaciji i eksperiment kojim bi se predviđanja provjerila .

Da bismo shvatili cjelokupan Newtonov doprinos mehanici, prije treba imati uvid u ideje koje su postojale prije njega, i bitne korake koje je morao učiniti.

Isaac Newton je rođen 25. decembra 1642. u selu Woolsthorpu u engleskoj pokrajini Lincolnshire. Počeo se školovati u okolnim gradićima, a sa deset godina upisao se u gimnaziju u obližnjem Granthamu. Za vrijeme školovanja živio je u kući farmaceuta Clarka, od kojega je naučio osnove hemije i
zbog koga je, vjerojatno, cijeli svoj život bio zainteresiran za hemijske procese. U mladosti je bio tih i povučen, nepažljiv u školi, ali spretan u ručnom radu. Izrađivao je modele vjetrenjača, vodene satove, zmajeve s lampama na repu i slične izume.

1. NEWTONOVI ZAKONI DINAMIKE

Newtonovi zakoni predstavljaju temelj klasične mehanike. Oni objašnjavaju zašto se tijela kreću i kako se tijela kreću pod datim uvjetima. Uspostavljaju vezu između kinematičkih i dinamičkih veličina – ubrzanja, mase, impulsa i sile. Pokazuje se da oni vrijede samo u slučaju kretanja tijela velikih masa (u odnosu na masu atoma), brzinama malim u poređenju sa brzinom svjetlosti u vakuumu ( c ≈ 3 ∙ 108 m/s). Kako su najveće brzine makroskopskih tijela u prirodi brzine nebeskih tijela, koje su reda veličine nekoliko desetina km/s (brzina Zemlje pri njenom kretanju oko Sunca je približno 30 km/s), područje primjenjivosti Newtonovih zakona je veliko. Otud proizlazi njihov ogroman značaj.

2. PRVI NEWTONOV ZAKON  ( ZAKON INERCIJE )

Galilejev misaoni eksperiment
(Slika 3) Galilejev misaoni eksperiment

Kuglica se spušta niz lijevu kosinu i zatim prelazi na drugu stranu penjajući se uz desnu kosinu. Brzina kuglice se pri uspinjanju smanjuje, i ona se zaustavlja na određenoj visini. Galilej je uočio da je visina do koje stiže kuglica na desnoj kosini tek nešto manja od početne visine na lijevoj. Ta razlika je manja što je trenje sa podlogom manje. Galilej je zaključio da bi u idealiziranom slučaju kad ne bi bilo trenja, kuglica na desnoj kosini dostigla polaznu visinu na lijevoj. Ako je nagib desne kosine manji, visina koju dostiže kuglica jednaka je visini koju dostiže kuglica kada je nagib veći, iako kuglica pri kretanju prelazi duži put.
Galileo je svoje tvrdnje objasnio:
"Tijelo u kretanju u cjelosti će zadržati svoju brzinu ako se uklone vanjski uzroci ubrzavanja ili usporavanja, a taj uslov vrijedi samo za horizontalnu ravninu. Naime, ako je ravnina nagnuta prema dolje, tada postoji uzrok ubrzavanja, a ako je nagnuta prema gore, postoji usporavanje. Otud proizilazi da se kretanje u horizontalnom pravcu održava trajno bez vanjskog uticaja."
Generalizacija ovog rezultata poznata je kao Galilejev princip inercije, koji se može formulirati na slijedeći način:
Tijelo koje ne međudjeluje s okolinom kreće se ravnomjerno po pravcu.
Galilejev princip inercije je možda najapstraktniji pojam u fizici jer ga je nemoguće provjeriti.
Ovaj zakon je imao ključnu ulogu u razvoju mehanike kao prvi iskorak iz aritotelovske fizike. U okviru aristotelovske fizike jedino bi mirovanje bilo prirodno stanje kretanja u ovom slučaju, jer da bi se tijelo kretalo, pa čak i stalnom brzinom, mora
postojati vanjski uticaj. Odnosno,da pokrenemo tijelo koje miruje potrebna je određena sila.
Proučavajući Newton je došao do svog prvog zakona.

U originalu, na latinskom, Prvi Newtonov zakon glasi :

 „Lex I:Corpus omne perseverare in statu suo quiescendi vel movendi uniformiter in directum, nisi quatenus a viribus impressis cogitur statum illum mutare.“

„Svako tijelo će ostati u stanju mirovanja ili ravnomjernog pravolinijskog kretanja sve dok pod djelovanjem vanjskih sila to stanje ne promijeni“

Prvi Newtonov zakon ne vrijedi u svakom referentnom sistemu. Kao primjer se može uzeti kuglica koja miruje na stolu u vozu, koji se kreće jednoliko po pravcu, pomaknuti će se čim voz uspori ili ubrza, iako okolina pri tom ne djeluje direktno na nju. Sistemi u kojima vrijedi Prvi Newtonov zakon, tj. zakon inercije, nazivaju se inercijalni sistemi. Npr. Voz koji se zaustavlja čini ubrzan sistem s obzirom na sistem Zemlje, pa ne može biti inercijalni sistem.

2.1 Eksperiment

Kuglice na stoluNajjednostavniji dokaz ovog zakona jeste onaj koji je (prije četiri stoljeća) izveo Galileo s kuglicom koja se kotrlja po horizontalnoj ploči i uz kosinu. Dvije su sile koje trebamo smanjiti ili pokušati izbjeći – gravitacija i sila trenja. Kako bismo smanjili trenje izvest ćemo eksperiment sa staklenom kuglicom na staklenoj podlozi (koeficijent trenja je najmanji među dva stakla), a radi smanjenja gravitacije uzet ćemo kuglicu male mase i pokušati se što više udaljiti od središta Zemlje.
Kuglicu ćemo lagano udariti da se ona počne kretati po horizontalnoj podlozi. Primijetit ćemo da se ona nastavlja kretati vrlo polahko smanjujući brzinu. Iz toga vidimo da kuglica ustraje u svom kretanju i da u slučaju da je želimo zaustaviti opet moramo na nju djelovati određenom silom. Ukoliko dovedemo kuglicu, koja se već kreće po horizontalnoj podlozi, na kosinu, ona će se brže zaustavljati, ali svejedno neće odmah stati, odnosno, što kosina ima manji nagib to će zaustavljanje teći sporije.Zaključak je isti,a to jeste :
Da svako tijelo ostaje u stanju mirovanja ili jednolikog kretanja po pravcu, sve dok ga vanjske sile ne prisile da to stanje ne promijeni.

3. DRUGI NEWTONOV ZAKON

Prvi Newtonov zakon opisuje ponašanje tijela kad na njega ne djeluju druga tijela.
Drugi zakon opisuje ponašanje tijela kad na njega djeluje određena vanjska sila ili kad je zbir  sila različit od nule.
Newton je primijetio zavisnost količine kretanja i sile na tijelo te zaključio:
- da ako neka sila stvara neku količinu kretanja, onda će dvostruka sila stvarati dvostruku količinu kretanja, bez obzira da li je ta sila djelovala u potpunosti i odmah ili postepeno.

3.1 Matematička osnova

 Newton pretpostavlja samo najjednostavniju vezu između sile i vremenske promjene količine kretanja – proporcionalnost.
Matematički to izgleda ovako:

                                        

Sila je jednaka izvodu impulsa po vremenu,gdje je  \vec p  impuls i važi:

\vec p = m \cdot \vec v

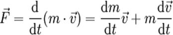
Iz prethodne formule slijedi da je u slučaju konstantne mase (masa se može i mijenjati - npr. Kao što je to slučaj kod rakete) intenzitet sile jednak proizvodu mase tijela i ubrzanja koje tijelo dobije djelovanjem te sile:

\vec F = \frac{\mbox{d}}{\mbox{d}t}(m \cdot \vec v) = \frac{\mbox{d}m}{\mbox{d}t}\vec v + m \frac{\mbox{d}\vec v}{\mbox{d}t}

A za slučaj konstantne mase važi:

\frac{\mbox{d}m}{\mbox{d}t} = 0

Pa prema tome :
\vec F = m \cdot \vec a  sl

 ili u skalarnom obliku    F = m \cdot a

Gdje je F sila, m (konstantna) masa tijela, a a ubrzanje koje to tijelo dobija djelovanjem sile. 
sl

Ovaj zakon na latinskom glasi:

„Lex II:Mutationem motus proportionalem esse vi motrici impressae, et fieri secundum lineam rectam qua vis illa imprimitur.“

Brzina promjene količine kretanja  proporcionalna je sili koja djeluje i zbiva se u smjeru pravca u kojem ta sila djeluje.  F=Dp/Dt
p=m*v pa prema tome F=m *v/Dt

 

Jedinica za silu je 1Njutn N
(Slika 5) Jedinica za silu je 1Njutn N

Vrste sila
(Slika 6) Vrste sila

3.2. Na putu prema supersili

Naše razumijevanje funkcionisanja univerzuma često napreduje kada se iznenada otkrije veza između naizgled nezavisnih entiteta. Veliki napredak se desio 1860.godine kada je James Clerk Maxwell uvidio sličnosti izmedju elektriciteta i magnetizma i razvio svoju jedinstvenu teoriju elektromagnetizma. Sličan napredak se desio stotinjak godina kasnije kada su teoretičari počeli razvijati veze između elektromagnetizma, sa njegovim očitim efektima u svakodnevnom životu, i slabe sile, koja se obično skriva u atomskim nukleusima. Vitalna podrška ovoj ideji došla je od Gargamel eksperimenta u CERN-u, a onda i sa otkrićem W i Z čestica – za što je dodijeljena i Nobelova nagrada. Ali treba zapaziti da su samo na višim energijama istraženi sudari čestica u CERN – u i drugim laboratorijima i da je pri tome otkriveno da tek tada elektromagnetna i slaba sila djeluju pod istim uslovima.
Eksprimenti su već pokazali da efekti jake sile postaju slabiji sa porastom energije. Energije o kojima ovdje govorimo su nekoliko milijardi puta više od energija koje mogu dobiti akceleratori čestica, ali takvi uslovi su mogli postojati u ranom univerzumu, skoro odmah nakon Velikog praska [10exp(-34s)]. Gurajući koncept još dalje, teoretičari su predvidjeli mogućnost uključivanja gravitacije pri još višim energijama, i tako sjedinili sve fundamentalne sile u jedinstvenu “super silu”. Ova sila je mogla vladati prvim instancama univerzuma, ali kako se univerzum hladio tako su se njene različite komponente međusobno razdvojile.

 4. TREĆI NEWTONOV ZAKON

Treći Newtonov zakon, ili zakon akcije i reakcije glasi:
Djelovanje je uvijek jednako protudjelovanju, tj. djelovanja dvaju tijela jednog na drugo uvijek su jednaka i suprotnog smjera dakle, ukoliko se bilo koje tijelo sudari s nekim drugim tijelom i promijeni mu bilo kako kretanje, prvo će tijelo u svom vlastitom kretanju pretrpjeti istu promjenu, u suprotnom smjeru, silom drugog tijela.
Newton naglašava da ta djelovanja nisu jednaka promjenama brzina, već promjenama količina kretanja. 

Cetvrti Newtonov zakon

(Slika 7) Četvrti Newtonov zakon (čekić i čavao)

Ovdje Newton zaključuje da niti jedno tijelo, potpuno osamljeno, ne može vršiti nikakvu silu, niti biti podvrgnuto nekoj sili. Ako, dakle, gledamo dva tijela, ona međusobno djeluju jedno na drugo i kažemo da među njima postoji međudjelovanje ili naprezanje. Tada on djelovanje jednog tijela naziva akcijom, a djelovanje drugog reakcijom. 

Tekst zakona kako je Newton zapisao na latinskom je:
 „Lex III:Actioni contrariam semper et æqualem esse reactionem: sive corporum duorum actiones in se mutuo semper esse æquales et in partes contrarias dirigi.“
„Svakom djelovanju (akciji) suprostavlja se po intenzitetu jednako i suprotno usmjereno djelovanje (reakcija).“

Prema tome Treći Newtonow zakon je:

 Treci Newtonow zakon

Ako tijelo 1 djeluje na tijelo 2 nekom silom F 21, tada i tijelo 2 djeluje na tijelo 1 silom F12. Eksperimenti pokazuju da su ove dvije sile jednakog intenziteta, ali suprotnog smjera,pa prema tome za ova dva tijela važi :
F12 = - F21


Fg   je sila kojom Zemlja djeluje na TV
Fg´ je sila kojom TV djeluje na Zemlju
Fg  = - Fg´

reći Newtonov zakon možemo ilustrirati također, slijedećim eksperimentom:

 Spojimo dva dinamometra A i B kao na slici 5., i povucimo oba u suprotnim smjerovima. Sila kojom dinamometar A vuče dinamometar B može se očitati i vidjeti da je brojno jednaka sili kojom dinamometar B vuče dinamometar A.

Ilustracija Treceg Newtonovog zakona

(Slika 10 ) Ilustracija Trećeg Newtonovog zakona

5. Newtonov zakon gravitacije

Često se u literaturi spominje i tzv. Četvrti zakon mehanike (iako ga Newton u Pricipia Mathematica ne navodi), koji se odnosi na slaganje sila: ukoliko na neko tijelo djeluje n sila, onda je ukupna sila (o kojoj je riječ u Drugom zakonu) jednaka:

\vec F = \vec F_ {1} + ... + \vec F_{n}

Newtonov zakon gravitacije je prirodni zakon koji opisuje pojavu općeg privlačenja među svim tijelima u svemiru. Smatra se ``najveličanstvenijim poopćenjem koje je ikad učinio ljudski um'': ista ona sila, koja privlači poslovičnu Newtonovu jabuku prema tlu zemlje, održava Mjesec u njegovoj putanji oko Zemlje i planete u njihovim putanjama oko Sunca (a danas je jasno da se to privlačenje prostire i dalje, u međuzvjezdana i međugalaktička prostranstva).

Toliko spominjana Newtonova jabuka stekla je planetarnu popularnost, gotovo kao i ona jabuka iz rajskog vrta Adama i Eve.
Priča govori da je Isaaku dok se odmarao u hladu krošnje stabla jabuke, pala jabuka na glavu i u tom trenutku mu je sinulo najveličanstvenije otkriće djelovanja gravitacije u svemiru - da ista ona sila koja privlači jabuku k zemlji održava mjesec na njegovoj putanji u svemiru.
I tako je rođen Newtonov zakon gravitacije.
Djelovanje sile teže u svemiru objasnio je 1687. u svojoj knjizi "Principia". Danas je uobičajeno da se ova sila naziva "Gravitacija", a pojam "sila teža"odnosi se na gravitacijsku silu planeta Zemlje u blizini njene površine.
Proučavajući silu težu Newton je došao do zaključka da je ona samo jedna manifestacija općenitije sile koja se proteže kroz cijeli Svemir. Ovu općenitu silu nazvao je Gravitacija i njeno djelovanje formulirao u obliku poznatog Newton-ovog zakona gravitacije.

Gravitaciono polje

(Slika 12) Gravitaciono polje

DveKugleSileGravitaciono polje, linije sila – dvije kugle

(Slika 13) Gravitaciono polje, linije sila – dvije kugle

  • Gravitacijska sila je privlačna sila između svih tijela koja imaju masu
  • Vrijedi za privlačenje između Zemlje i svakog tijela na njenoj površini
  • Isto tako i za privlačenje nebeskih tijela u Sunčevom sistemu

Gravitacijska sila daje centripetalnu silu. Da bi se satelit održao u orbiti mora imati tačno definisanu orbitalnu brzinu.

5.1 Supernova

Supernova je velika eksplozija zvijezde pri kojoj se oslobađa dovoljno energije da supernova svojim sjajem zasjeni ostatak galaksije. To su "nove" (od latinske riječi za "nov", jer se antičkim astronomima koji nisu imali teleskopa činilo da su to nove zvijezde). Prvu od njih spomenuo je grčki astronom Hiparh (190—120. p.n.e.).
Pored energije elektromagnetskog zračenja, mnogo više energije se oslobodi u vidu kinetičke energije čestica i u vidu neutrina. Supernova se događa kada masivna zvijezda potroši svoje nuklearno gorivo, pri čemu jezgro postaje nestabilno, pa kolapsira.
Slična ovoj pojavi je nova, koja se od supernove razlikuje po tome što je zvijezda može proizvesti više puta, pri čemu se ne radi o eksploziji cijele zvijezde, nego samo njenog vanjskog sloja, koji obično iznosi oko stohiljaditog dijela mase zvijezde. Po završetku nove sjaj zvijezde se vraća na uobičajeni nivo.
Za razliku od nove, supernova je eksplozija kvazitotaliteta mase zvijezde, te se njen sjaj ne vraća na prijašnji nivo, nego od zvijezde preostaje samo neutronska zvijezda (pulsar) ili zvijezda kolabrira u crnu rupu, ako joj je masa prije supernove bila veća od najmanje trostruke mase Sunca.
Supernove se ne pojavljuju često; samo jedna na stotinu zvijezda sposobna je eksplodirati kao supernova, samo su rijetke od njih u konačnoj fazi svoga životnog vijeka, a još su rjeđe dovoljno blizu da bi se mogle vidjeti kao neuobičajeno blistave zvijezde. (Prije no što je izumljen teleskop samo se izvanredno blistava zvijezda mogla nametnuti pažnji promatrača kao nešto što se pojavilo tamo gdje prije nije bilo vidljive zvijezde.) Ipak se supernove mogu pojaviti, i u prošlosti se to događalo — bez upozorenja, naravno.

ZAKLJUČAK

Jabuka ne pada daleko od stabla, kažu ljudi. Primijetili su to i antički Grci, ali njihov talent nije bio dovoljan da otkriju zašto. Učinio je to sir Isaac Newton, tek u XVII stoljeću. Međutim, moram svakako naglasiti da vjerojatno niti on ne bi sam došao do otkrića za koja je zaslužan, da nije bilo svih njegovih prethodnika koji su mu tako lijepo priredili put, da je on morao samo doći, vidjeti i prepustiti geniju u sebi da pobjedi.
Da nije bilo Newtona, u svemiru bi i dan danas vladali isti oni zakoni koji su vladali i prije nego ih je sir Isaac otkrio, samo mi možda još ne bi znali za njih. I naš napredak bez osnovnih zakona gibanja ne bi mogao nikamo. U ovom radu iznesen je samo mali djelić Newtonovog životnog djela – onaj dio koji se usko veže uz dinamiku i jednostavno kretanje, jer bi rad u kojem bi neko iznio cjelokupno Newtonovo 'stvaralaštvo' zauzeo puno više papira.
Sir Isaac Newton jedna je od najznačajnijih ličnosti svjetske historije i, vjerujem, dok je svijeta bit će puno ljudi koji će pisati o njemu, a malo onih koji neće nikad za njega ni doznati.
Toliko mu valjda dugujemo.

LITERATURA

 1. Marić Stjepan,Univerzitetska knjiga, IP „Svjetlost“ d.d. Zavod za udžbenike i nastavna sredstva,Sarajevo 2001.god.
2. Nada Abasbegović Rajfa Musemić ' FIZIKA sa zbirkom zadataka za sedmi razred '
3. http://bs.wikipedia.org/wiki/Newtonovi_zakoni_kretanja
4. http://fizika.fpz.hr/download/7%20%20FIZIKA%2061%20-%2070.pdf

 

PROČITAJ / PREUZMI I DRUGE SEMINARSKE RADOVE IZ OBLASTI:
ASTRONOMIJA | BANKARSTVO I MONETARNA EKONOMIJA | BIOLOGIJA | EKONOMIJA | ELEKTRONIKA | ELEKTRONSKO POSLOVANJE | EKOLOGIJA - EKOLOŠKI MENADŽMENT | FILOZOFIJA | FINANSIJE |  FINANSIJSKA TRŽIŠTA I BERZANSKI    MENADŽMENT | FINANSIJSKI MENADŽMENT | FISKALNA EKONOMIJA | FIZIKA | GEOGRAFIJA | INFORMACIONI SISTEMI | INFORMATIKA | INTERNET - WEB | ISTORIJA | JAVNE FINANSIJE | KOMUNIKOLOGIJA - KOMUNIKACIJE | KRIMINOLOGIJA | KNJIŽEVNOST I JEZIK | LOGISTIKA | LOGOPEDIJA | LJUDSKI RESURSI | MAKROEKONOMIJA | MARKETING | MATEMATIKA | MEDICINA | MEDJUNARODNA EKONOMIJA | MENADŽMENT | MIKROEKONOMIJA | MULTIMEDIJA | ODNOSI SA JAVNOŠĆU |  OPERATIVNI I STRATEGIJSKI    MENADŽMENT | OSNOVI MENADŽMENTA | OSNOVI EKONOMIJE | OSIGURANJE | PARAPSIHOLOGIJA | PEDAGOGIJA | POLITIČKE NAUKE | POLJOPRIVREDA | POSLOVNA EKONOMIJA | POSLOVNA ETIKA | PRAVO | PRAVO EVROPSKE UNIJE | PREDUZETNIŠTVO | PRIVREDNI SISTEMI | PROIZVODNI I USLUŽNI MENADŽMENT | PROGRAMIRANJE | PSIHOLOGIJA | PSIHIJATRIJA / PSIHOPATOLOGIJA | RAČUNOVODSTVO | RELIGIJA | SOCIOLOGIJA |  SPOLJNOTRGOVINSKO I DEVIZNO POSLOVANJE | SPORT - MENADŽMENT U SPORTU | STATISTIKA | TEHNOLOŠKI SISTEMI | TURIZMOLOGIJA | UPRAVLJANJE KVALITETOM | UPRAVLJANJE PROMENAMA | VETERINA | ŽURNALISTIKA - NOVINARSTVO

  preuzmi seminarski rad u wordu » » »

Besplatni Seminarski Radovi