|
Planiranje - operativno planiranje
Planiranje – pojam
Planiranje predstavlja filosofiju ponašanja preduzeca koja bazira
na potrebi za sistematcnim i kontinuelnim razmišljanjem o buducnosti
pre neposrednog reagovanja. U pitanju je obilik kauzaliteta, odnosno sagledavanje
buducih posledica i sadašnjih odluka.
Gde zapravo povuci liniju izmedu sadašnjeg raspolaganja resursima,
planiranjem, i investiranjem, i izmedu buducnosti gde ce i rezultati efektuirati,
pitanje je na kome se lome koplja doktrine i prakticnog funkcionisanja
svakog privrednog subjekta.
Planiranje je primarna i suštinska faza procesa menadmenta
kao i bitna odgovornost svih menaderskih nivoa. Planiranje predstavlja
formulisanje ciljeva i nacina njihovog prilagodavanja, koje je koordinirano
sa stvaranjem i prilagodavanjem organizacione strukture, stila vodenja
i modela kontrole. Planiranje pomiruje dve stvari, teoriju i praksu, misao
i delovanje.
Planiranje je pre svega izbor ciljeva i odredivanje nacina njihovog ostvarenja.
Rezultat procesa planiranja su planske odluke. Ciljevi su osnovna planska
odluka. Ostale planske odluke slue ostvarenju ciljeva glavne planske
odluke te vrste su :
• strategija
• biznis plan
• projekat
Planske odluke su vodilje za menadmentski tim kao i druge interesne
grupe preduzeca, planske odluke su vaan faktor jer u sadašnjem
trenutku se postiu ciljevi koji dolaze u neposrdnoj buducnosti.
Obzirom da svaki subjekat u svom poslovanju racuna sa izvesnom stabilnošcu
i izvesnošcu projekata, trenutak i proces planiranja su vana
pocetna faza procesa.
To dakle nije samo cin vec citav proces , promene su kontinuelne, stoga
je i planiranje kontinuelno. Planiranje se odvija u ciklusima. Pocinje
se predvidanjem trendova razvoja, tece sa preduzimanjem odgovarajucih
akcija, a završava se sumiranjem i pracenjem rezultanti preuzetih
akcija. Kako se odnosi na buduce efektuiranje sadašnjih procesa,
mora se racunati sa mogucnošcu promene “projektovane“
buducnosti, pa se stoga moraju predzimati permanenta pracenja rezultata
preduzetih akcija i blagovremeno reagovati na negativne oscilacije koje
proces mogu uzdrmati u nekoj od njenih faza i time ugroziti ceo projekat
tj. dovesti do negativnog rezulatata.
Da bolje shvatili planiranje prikazacemo šemu procesa proizvodnje
tj. njegov kontinuitet.

Planiranje je neophodno uvek kada je uspeh preduzeca zavistan od skupa
povezanih odluka koje su medusobno korelativne i medusobno uslovljene,
i ne mogu se stihijski donositi i bez medusobne koordinacije jednih i
drugih. Ako pod uspehom podrazumevamo postepeno ostvarivanje planiranih
ciljeva, to zapravo znaci da su ciljevi preduslov uspeha.
Planiranje predstavlja više ili manje, formalizovan sistem koji je
u interakciji sa drugim fotmalizovanim sistemima kao što su racunovodstveni
sistem, sistem kontrole kvaliteta, informacioni sistem kao i sistem kompezacije
zaposlenih.
U stabilnim okruenju sistem planiranja treba da obezbedi kontinuitet.
Provereni mehanizmi kojima se ostvaruju poslovni rezultati su funcionalna
hijerarhija i centralizovana kontrola. U turbulentnom okruenju suštinu
ponašanja preduzeca predstavljaju korišcenje i iniciranje promenama.
Opet da bi se to postiglo, neophodno je da sistem planiranja bude fleksibilan.
Fleksibilnost u našem slucaju, ne znaci odsustvo jasne vizije i metodologije
kao i nedisciplinu u sprovodenju. Fleksibilnost u procesu planiranja znaci
raspolaganje sredstvima za rad i predmetima rada racionalno, što
opet znaci dobijanje proizvoda najniom cenom po jedinici proizvoda,
ali pre toga fleksibilnost planiranja podrazumeva odgovor na pitanje šta
proizvodiit? Pretpostvaljamo da nije baš mudra menaderska odluka
proizvoditi suficitarne proizvode na trištu ili one koji to
pretnduju da budu, ali i proizvode koji na trištu zbog svoje
visoke cene po jedinici nemaju plasman. Proizodnja jeste sr, iz
kretanja kapitala R-N, ako smo menadersko planiranje fleksibilno
upotrebili imamo višak ili profit. Menadersko planiranje ne
pocinje proizvodnim procesima ali se tu i ne završava, postavlja
se novo pitanje kako raspolagati sa profitom? Ako u jednom trenutku sav
višak kanališemo u proizvodne procese, uspeh nije zagarantovan,
jer amortizacioni fond ceka povoljan trenutak, kako bi ekonomisanje predmetima
rada imalo veci efekat. Ekonomisanje ovim faktorima proizvodnog procesa
i njihova planska upotreba jedan je od osnovnih pretpostavki pozitvnog
poslovnog rezultata.
Menaderi koji u proizvodnom procesu ne ekonomišu u trošenju
energije, sirovina, inventara, naravno tu spada i ljudski potencijal i
njegova ''upotreba'', sem ako nisu na monopolskom trištu, bivaju
suoceni sa manjim ili negativnim poslovnim bilansom.
Faza procesa menadmenta
U tumacenjima menadmenta i njegove uloge u procesu proizvodnje,
moemo pristupiti sa dva aspekta : konvencionalan aspekt podrazumeva
planiranje kao primarnu fazu procesa menadmenta. Polazeci od tog
pristupa menader mora pre organizovanja, vodenja i kontrole pre
svega da planira kako bi za datu definisanu misiju i viziju odredio glavne
pravce delovanja koji definišu šta je potrebno uraditi, kada,
kako i ko ce uraditi planirani projekat. Prema drugom pristupu, novom
aspektu, planiranje je ne samo primarna faza vec je iz tog aspekta posmatramo
i kao suštinsku fazu, odnosno fazu koja pokriva najveci broj aspekata
tzv. ''strategijskog menadmenta''.
Do ranih '70-tih godina prošlog veka, menadment je bio fokusiran
na kontrolu izvršnog i taktickog nivoa. Osnovno pitanje je bilo kako
efikasno koristiti ogranicene resurse kako bi došlo do realizacije
proizvodnje standardnih proizvoda po cenama ekonomicnim za kupce. Efikasna
proizvodnja je dovodila do maksimiziranja profita.
Efikasnost u korišcenju retkih resursa i dalje je okosnica menadmenta
ali zbog imperativa promena sposobnost preduzeca da se adaptira i efektivno
koristi diskontinuitet izbija u prvi plan. Adaptiranje promenam igra kljucnu
ulogu preduzetih akcija. Iniciranje promena sada stoje u mogucnosti preduzimanja
koraka u nekontinuelnim procesima. U takvoj situaciji kreativnost zamenjuje
rutinu, a planiranje kontrolu, a sa druge strane maksimiziranje profita
ustupa mesto maksimiziranju vrednosti.
Suštinu strategijskog menadmenta predstavlja promena teišta
sa kontrole procesa na formulisanje i primenu strategije. Promena teišta
sa kontrole na formulisanje i primenu strategije. Promena teišta
ne znace nekomptabilnost strategijskog i operativnog menadmenta.
Naprotiv izbor ciljeva i strategijske vizije kao i bitnih odluka za ostvarenje
te vizije, strategijski menadment odreduje okvir i pravac delovanja
operativnog menadmenta. Bitni elementi planiranja bili bi:
1) Intuicija – je jedan od vanih elmenata
planiranja, inspiracija i intucija su pokretacka snaga promena. Intuicija
odlae formalizaciju procesa planiranja. Medutim intuitivni metod
ima i svoje nedostatke, jedan od problema je koliko je planer intuitivnim
planiranjem dobro procenio plan i preduzete postuupke.
2) Formalizovan sistem planiranja – je zasnovan
na eksplicintnom metodu i postupku pripreme i primene odgovarajucih odluka.
Razlika dva metoda je jasna ako se menader oslanja samo na jednu
odnosno samo na drugi elemenat planiranja, postoje cak i mišljenja
kako jedan elemenat potiskuje drugi. Prema našem mišljenju takva
razlika doktrinarno moda i postoji ali u praksi je najcešca
kumulativna upotreba oba pristupa. Ako malo dublje pogledamo problematiku
uvidamo da ni u svom postanku formalizovan sistem ne postiji odvojen od
intuicije, vec svi ti racionalni metodi u kojima se na bazi empirije i
doktrine dolazili do raznih zakljucaka i rešenja. Nekad su ti zakljucci
i rešenja bili divergenti, medutim sama njihova upotreba u odredenim
odnosima daje odgovor na nerešena pitanja, iz prostog razloga jer
se misaone konstrukcije i ''prave'' kako bi konacan izraz dobili u proizvodnoj
stvarnosti.
Planiranje i odlucivanje
Planiranje je skup aktivnosti koje dovode do odgovarajucih odluka. Planiranje
je priprema odluka, a odlucivanje je donošenje odluka. Drugacije
receno planiranje je anticipativno odlucivanje, a planiranje bez odluka
je nije svrsishodno.
Donošenje odluka predstavlja završni proces planiranja, gde
se formulišu planske odluke, a pocetak procesa primena utvrdenih
planova.
Donošenje odluka predstavlja proces indentifikovanja alternativa
i izbora definitivnog kursa akcija kako bi se rešili konkretni problemi
. Odluke se donose više puta u procesu planiranja. Donosioci odluka
moraju izabrati najverovatnije pretpostavke i alocirati resurse na odgovarajuce
odluke kako bi se ciljevi ostvarili na najefikasniji nacin. Sama cinjenica
da menader u sklopu procesa planiranja ima pred sobom jedan ''ui
krug'' alternativnih odluka koje su neizvesne, i zbog tog svog kvalifikativa
ceo proces cine komplikovanijim.
Kako bi odluke bile preglednije, moramo ih klasifikovati. U tom procesu
poznajemo dva kriterijuma :
Prvi kriterijum – nivo predvidivosti odluke se pak deli
na programirane i neprogramirane.
Drugi kriterijum – karakter statisticke sredine u kojoj
se odluke donose.
Prema ovom kriterijumu odluke se dele na one koje se donose u uslovima
neizvesnosti, one u uslovima rizika i one u uslovima neizvesnosti.
(Ne)programirane odluke – termin vuce poreklo iz racunarstva, naime
program snabdeva sa sekvencom kodiranih upustava kako bi se incirale odredenje
aktivnosti. Programirane odluke – se odnose na rutinske probleme
koji se ponavljaju, a one se formulišu u skladu sa odredenim obicajima,
pravilima, postupkom u toj oblasti problematike. Programirane odluke se
koriste za artikulaciju ne samo jednostavnih, vec i sloenih situacija.
Rutinski karakter problema nije posledica sloenosti, vec njegove
predvidivosti. Programirane odluke suavaju diskreciju pojedinca
uvodeci automatizam u odlucivanje. Na taj nacin programirane odluke oslobadaju
vreme potrebno za donošenje drugih odluka, pre svega neprogramiranih
odluka.
Neprogrmirane odluke – se odnose na situacije koje karakterišu
nepredvidivi,i bitni problemi. Ukoliko je frekvencija ponavljanja problema
nedovljna da bi se moglo artikulisati politikom i ukoliko je problem istovremeno
toliko bitan da zahteva poseban tretman koriste se neprogramirane odluke.
Investicioni projekat i program prestrukturiranja predstavljaju tipicne
neprogramirane odluke.
Menaderi donose odluke u sadašnjosti povodom odluka koje efektuiraju
u buducnosti. Svi ti aspekti su teški za predvidanje, tako da menaderi
moraju rangirati situacije prema mogucnosti predvidanja, pocevši
od situacija koje je moguce predvideti, zakljucno sa situacijama koje
je teško predvideti.Pri rangiranju ovih situacija polazimo od sledecih
kriterijuma: izvesnost, rizik, i neizvesnost.
Odluka u uslovima izvesnost donosi se na bazi ekstremne vrednosti ishoda.
Odluka u uslovima rizika donosi se na bazi matematickog ocekivanja, u
uslovima neizvesnosti donosi se na bazi kriterijuma odlucivanja.
1) Racionalan metod donošenja odluka-mora biti
u skladu sa racionalnim
modelom rešavanja problema. Taj model pretpostavlja da su menaderi
u stanju da identifikuju potencijalne rezultate koje nose odredene odluke.
Zatim se izracunava vrednost svakog rezultata i mnoi verovatnocom
njegove pojave. Ukoliko se odluka donosi u uslovima izvesnosti, vrednost
odgovarajuce verovatnoce je 1(2).Ukoliko se odluka donosi u uslovima rizika,
rizik svake altrnative se procenjuje istim metodom.A ako je odluka donešena
u uslovima neizvesnosti koriste se odredeni kriterijumi u smislu da se
pretpostvlja da je svaka odluka podjednako verovatna. Ovaj model je pre
izuzetak nego pravilo, jer se koristi za ''bitne odluke'' a odnosi se
na superiorna rešenja.
2) Metod ogranicene racionalnosti – prema ovom
metodu menaderi donose odluke najlogicnije odluke koje mogu da se
donesu u uslovima ogranicenih informacija i ogranicenih mogucnosti. Prema
ovoj teoriji donosioci odluka se srecu sa neadekvatnim informacijama,
nedostatkom vremena i novca za dobijanje potpunijih informacija, neadekvatnim
razumevanjem raspoloivih informacija, fizickom nemogucnošcu
memorisanja velike kolicine informacija , ogranicenje sopstvene inteligencije
u izboru najbolje alternative.
3) Metod heurustickih principa tzv.''pravila palca"
– Heuristike nisu dokazana pravila vec opšte saznajne strategije
koje baziraju na intuiciji, a primenjuju se u slicnim situacijama. One
zapravo uprošcavaju donošenje odluka. U procesu donošenja
odluka postoje tri vrste heuristika : raspoloive, reprezentativne,
i uporedne. Heuristike skracuju vreme donošenja odluka ali dovode
do sistematicne pristrasnosti u proceni, što je posledica njihove
karakteristike, kao intuitivnih pravila. Eliminacija pristrasnosti povecava
kvalitet odliucivanja. Tom procesu doprinosi moderna informaticka tehnologija.
Umreeni u bazu podataka donosioci odlika dele saznanja, informacije,
rešenja, što kao što smo naveli uskracuje mesto heuristici
odnosno intuiciji.
U procesu odlucivanja donosioci odluka retko, gotovo nikada, se ne opredeljuju
za jedan metod kao jedini i iskljucivi. To je nerealno, ali kombinovanjem
metoda povecava se šansa da donesena odluka bude izvesnija i oslobodena
vecih rizika. U poslovnom smislu uvek se mora racunati sa izvesnim rizicima,
koji su cesto u domenu statistike, ali kombinovanjem metoda i prikupljanjem
informacija relevantnih za datu ali i širu oblast, smanjuju se oscilacije
nesavršenog trišta,i racionalnija proizvodnja. Donosioci
odluka, menaderi mogu izabrati odredeni metod kao primarni i dopunjavati
saznanja prikupljanjem informacija drugim putevima ali i za proveru izabranih
rešenja.
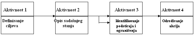
Osnovne aktivnosti procesa planiranja
Nezavisno od vrste i nivoa planiranje obuhvata cetiri bitne aktivnosti:
1) definisanje ciljeva
2) opis sadašnjeg stanja
3) indentifikovanje podsticaja i ogranicenja
4) odredivanje akcija

1. Definisanje ciljeva – planiranje zapocinje
odlukom o tome šta se eli ostvariti u okviru celine i delova
preduzeca. Precizno definisanje ciljeva sprecava resipanje resursa, a
indentifikovanje prioriteta dovodi do efektivne upotrebe resursa.Bez pracvilno
odabranih ciljeva ne mogu se definisati druge planske odluke koje su u
funkciji realizacije ciljeva. I pored toga u praksi se izbegava jasno
formulisanje ciljeva iz više razloga : prvi razlog je što menader
nije spreman da ''vezuje sebi ruke'', jer time bi u potpunosti morao da
se odrekne od drugih alternativa. Drugi razlog lei u strahu od prepoznavanja
neuspeha, precizno definisani ciljevi snose veci rizik njegovih neuspeha.
Treci razlog krije se u nepoznavanju organizacije i funkcionisanja preduzeca
i dobrih odnosa sa zaposlenim koji cesto raspolau vanim informacijam
na niem nivou. Cetvrti motiv je nepoznavanje okruenja, tj.
kupaca, dobavljaca konkurenata, partnera i regulatora, menader se
nalazi u konfuziji oko izbora pravca kojim treba usmeriti sredstva tj.
za ostvarivanje ciljeva. Peti razlog je odustvo samopouzdanja da bi se
mogli indentifikovati sa ciljevima, kako bi imali dovoljno poverenja u
sebe ili u preduzece bei se od jasno izdefinisanih ciljeva.
2. Opis sadašnjeg stanja – da bi se utvrdili
ciljevi tj. uslovno receno, neko buduce stanje, moramo znati ''gde smo
sada''. Dijagnoza stanja je osnova poredenja, a ono se vrši u vremenu
u odnosu na druge konkurente, i u odnosu na druge investicione opcije.Analiza
stanja je osnova definisanja odluka i preuzimanja odgovarajucih akcija.
3. Identifikovanje podsticaja i ogranicenja – podsticaji
ili mogucnosti su faktori koje treba iskoristiti a ogranicenja, ili problemi,
su faktori koje treba izbeci ili im se prilagoditi. Relativno je lako
indetifikovati podsticaje i ogranicenja u sadašnjosti ali istraivacki
zadatak je indetifikovati faktore koji ce delovati u buducnosti. U svome
radu menader izmedu odogovra na ogreanicenja(indentifikovanje i
rešavanje), i korišcenja mogucnosti. Odgovor na ogranicenja
predstavlja pasivno reagovanje ili reaktivno, a korišcenje mogucnosti
predstavlja aktivno reagovanje ili proaktivno ponašanje. Najveci
broj istraivanja je posvecen rešavanju problema, a mnogo manji
pronalaenju problema, a još manji korišcenju mogucnosti.
Pri takvom pristupu vitalitet preduzeca i njegova preduzetna moc mnogo
više zavise od korišcenja mogucnosti nego od izbegavanje problema.
Rešavanje problema drava normalnost a korišcenje mogucnosti
dovodi do progresa.
4. Odredjivanje akcija – poslednja aktivnost u
planskom procesu je definisanje alternativnih pravaca akcije, evaluacija
i izbor najbolje alternative. U okviru ove aktivnosti neophodno je alocirati
vreme, ljude i novac na nacin koji obezbeduje ostvarenje razlicitih ciljeve.
Definisanje aktivnosti predstavljaju vodilju za svakodnevne odluke. Menaderi
i ne pokušavaju da pronalaze rešenja za sve probleme. Kriticna
menaderska veština je tzv. ''odlucivanje o odluci'', upravljanje
na bazi izuzetka. Upravljanje na bazi izuzetka znaci dve stvari istovremeno
: definisanje prioritetni problema koji zahtevaju odgovarajuce akcije,
i delagiranje odgovornosti podredenima za odluke manjeg nivoa znacajnosti.
Vrste planiranja
Planiranje nije donošenje planova (planiranje je sve, plan je ništa).
Planovi su samo jedan od rezultata procesa planiranja. Planiranje je proces
izbora ciljeva i definisanja nacina za njihovo ostvarenje. Nacini za ostvarivanje
ciljeva definišu se planskim odlukama. U svakom preduzecu planske
odluke imaju više funkcija. One pre svega daju orjentaciju na niem
nivou. One sadre sredstva za ostvarenje ciljeva na bazi odluke viših
nivoa. I na kraju one su sadraj komuniciranja.
Razlikujemo dve vrste planiranja : A) strategijsko planiranje;B) operativno
planiranje;
Operativno nazivamo još i osnovno planiranje. Strategijsko planiranje
postoji da bi se ostvarila misija kao jedinstven razlog postojanja preduzeca,
i vizija kao suštinski nacin ostvarenja te misije. Operativno planiranje
sa svoje strane konkretizuje opšte ciljeve i nacine njihovog ostvarivanja
kroz dnevne odluke. Ovo planiranje se bavi i detaljima za definisan okvir
i pravila ponašanja.
Operativno planiranje
Operativno planiranje ili osnovno planiranje kao što smo vec naveli.
Operativno planiranje rezultira dvema vrstama planskih odluka :
1) za jednokratnu upotrebu
2) za permanentu upotrebu
Na grafikonu cemo bolje shvatiti odnos izmedu ciljeva, strategije i operativnih
odluka, a u sklopu njih i odluka za jednokratnu upotrebu i za permanentu
upotrebu.

Planske odluke za jednokratnu upotrebu treba da ooguce realizaciju specificnih
ciljeva. Ove odluke prestaju da izazivaju odgovarajuce dejstvo sa ostvarenjem
definisanih ciljeva. Planske odluke za permanentnu upotrebu su rezultat
standardnog pristupa u planiranju koji bazira na kontroli repetitivnih
i predvidivih situacija.
1) Planske odluke za jednokratnu upotrebu
– planske odluke ove vrste slue za preciziranje kursa akcije
koji se koristi samo izuzetno, odnsno za rešavanje problema nerepetitivnog
karaktera. Glavni tipovi odluka za jednokratnu upotrebu su biznis plan,
program i projekat.
1.1. Biznis plan – predstavlja vremenskim intervalom
odreden skup aktivnosti koje su u skladu sa definisanim ciljevima i strategijom.
Radi se zapravo o skupu planova koji se nalaze u kauzalno-hronološkom
redosledu. Konkretnije radi sa o sledecem redosledu planova : plan prodaje,
plan proizvodnje, plan investicija, plan istraivanja i razvoja,
i finansijski plan. Finansijski plan se obicno daje u formi projekcije
osnovnog skupa finansijskih izveštaja ( bilan stanja,uspeha i izveštaj
o gotovinskom toku ). Moguce je finansijski plan dati u formi budeta
( plan priliva i odliva sredstava ).
1.2. Program – predstavalja najsloeniju
plansku odluku koja slui za ostvarenje delikatnijih ciljeva ili
grupe ciljeva (repozicioniranje, konsolidacija i prestruktuiranje i slicno).
Program je skup veceg broja projekata, ali obuhvata ne samo aktivne projekte
vec i prethodno prihvacene ali i projekte sa odloenim vremenskim
dejstvom. Ralizacijom drugih ciljeva ''ceka'' završetak aktivnih
projekata, pri tom se ovi ciljevi odnose na istu grupu ciljeva.
1.3. Projekti – su delovi programa ili samostalne
celine ogranicenog obima i specifiranih zahteva u vezi sa korišcenjem
vremena i resursa. Projekte cini veliki broj aktivnosti i dogadaje sa
specificnim redosledom, trajanjem i odgovarajucm resursima.
2) Planske odluke za permanentu upotrebu – za
artikulisanje aktivnosti koje se ponavljaju, koristi se jedna ili veci
broj odluka za permanentu upotrebu. Ove odluke omogucavaju skracenje vremena
potrebnog za planiranje i donošenje odluka pošto se odredene
situacije javljaju konzistentno i sa visokim nivoom predvidivosti. Odluke
za permanentu upotrebu mogu dovesti do problema kada dode do promene uslova.
Iz tog razloga veoma je bitno da se ove odluke kontinuelno analiziraju
i reinterpretiraju. Glavne odluke ove vrste su: politike, postupci i pravila.
2.1. Politika – je opšti vodic za donošenje
odluka. Politika definiše ogranicenje na osnovu kojih se donose ili
eliminišu odredene odluke. Na taj nacin politike kanališu pojedinacna
razmišljanja kako bi ona bila u skladu sa ciljevima. Odredene politike
veoma vane aspekte poslovanja kao što su sanitarni uslovi(proizvodnja
hrane kod lekova) ili sastav emisije gasova.
Druge politike mogu tretirati relativno manje vane aspekte. U najvecem
broju slucajeva politike definiše menaderski vrh.
Razlozi za definisanje menaderskog vrha politika bili bi: Prvo jedna
odgovrnosti menaderskog vrha je unapredenje organizacije. Drugi
razlog je što menaderski vrh eli prohodnost njegovog
sistema vrednosti kroz celo preduzece. Treci razlog je što menaderski
vrh nastoji da pomocu politike spreci konflikte na niim organizacionim
nivoima.
2.2. Postupci ili procedure – predstavljaju detaljan
skup instrukcija za obavljanje odredenih aktivnosti koje se javljaju regularno
ili sa visokim stepenom ucestalosti. Postupci predstavljaju visoko formalizovanu
plansku odluku, po pravilu pismeno formulisanu. Postupci karaktrišu
sistem kontrole kvaliteta.
2.3. Pravila – predstavljaju stavove kojim se
odreduje koje akcije se mogu a koje ne, preuzimati u odredenim situacijama.
U vezi pravila postoji samo jedan izbor : primeniti ili ne primeniti odredeno
pravilo. Umnoavanje pravila cesto utice na opadanje entuzijazma.
Ovo narocito vai za preduzetnicke firme u ekspanziji koje posle
odredenog vremena ''nesputane kreativnosti'' idu na formalizaciju nepisanih
pravila.
Broj procedura, politika, pravila nije stalna menja se. Neka preduzeca
imaju veci broj politika, postupaka i pravila. Druga pak smatraju da je
najbolja politika ona ''koja ne propisuje politiku''. Polazi se od nacela
da zaposleni moraju imati više autonomije u donošenju odluka,
i da se time povecava osnova rasta kreativnosti. Prema bihejvioristickoj
školi, preterana formalizacija ogranicava kreativnost i cini organizaciju
neosetljivu na promene.
Zakljucak
U procesu funkcionisanja nekog privrednog subjekta, preduzeca, radi opravdanja
njegove osnovne funkcije,a to je ekonomska odnosno profit, menaderi
koji stoje na celu organizacije nalaze se pred nizom odluka koje treba
da donesu. Problem koji se nalazi pred donosiocem odluka lei u tome
što odluke koje menader donosi u sadašnjosti efektuiraju
u nekom buducem vremenu. Postaviti ciljeve, strategiju, operativno delovanje
nije ni malo lak zadatak. Nesklad sa buducim stanjem i odnosa na trištu
cesto za posledicu ima jasno nedefinisane ciljeve kako bi odgovornost
donosioca bila manja, ako za posledicu ima stanje koje nije kompatibilno
sa planovima menadera. Planiranje pomiruje dve stvari, teoriju i
praksu, misao i delovanje. Ako dobro uskladi teorijsku nauku sa empirijskom
rezultat nije izvestan sam po sebi, trišna kolebanja i oscilacije,
kao vis maior ili casus fortuitus, mogu dovesti do promene ponude i tranje,
i time proizvod koji se eli plasirati moe biti deficitaran
odnosno suficitaran.
Sve su to okolnosti koje menadera dovode u situaciju da se pre procesa
angaovanje resursa dobro potkuje informacijama koje ce mu omoguciti
da bolje sagleda okruenje. U svom radu donosilac odluka informacije
koje ima mora proveriti na više mesta odnosno nacina. Samo tako moe
biti siguran da informacija sa kojom racuna moe biti validna. Druga
vana dilema je na koju stranu ce preteci njegov pristup, to jest
da li ce se u svom radu oslanjati se na intuitivne sposobnosti i procene,
ili ce definisanje ciljeva bazirati na formalizovanom sistemu planiranja.
Sve su to ‘’kokteli’’ koje menader pravi
po svom ukusu i ciju rec poslednju daje. Zato su od najvece vanosti
sklonosti, intuituvne sposobnosti kao i ljudske osobine u širem smislu.
Ove osobine su vanije utoliko što od tih odluka zavisi veliki
broj ljudi ako se radi o vecem privrednom subjektu. Koordinacija na svim
nivoima je jako bitna jer ponekad i ‘’izvodaci’’egzekutori
menaderskih odluka raspolau vanim informacijama na koje
donosioci treba da racunaju. Ukoliko meander nema dobre osobine
komuniciranja sa niim nivoima, dešava se da propušta informacije
jako vane a koje su mu na dohvat ruke. Još jedan problem moe
da se javi ukoliko menaderski tim ne deli informacije sa višeg
nivoa, pa samim tim nema povratne informacije.
Sve su to pretpostavke koje su u pocetnim fazama definisanja ciljeva vae
za bitne faktore. Drugi stadijum je opis sadašnjeg stanja jer opis
sadašnjih okolnosti tj. dojam o njima nam jedino moe pomoci
kako bi bar priblino projektovali buduce stanje. Identifikovanje
podsticaja i ogranicenja su sledeca faza procesa, ukoliko elimo
da ekonomišemo sa raspoloivim resursima moramo znati kako da
ih što bolje iskoristimo a ogranicenja koja prepoznajemo eliminišemo
tj. da im se prilagodimo. Odredivanje akcija je poslednja aktivnost u
planskom procesu definisanja alternativnih pravaca akcije, evaluacija
i izbor najbolje alternative.
Svaka faza je kumulativna jedna u odnosu na drugu, iz prostog razloga
što jedna uslovljava drugu, cime nam postaje jasnije koliko je vana
koordinacija istih. Akcije koje se preduzimaju mogu imati kratkorocniije
efektuiranje odnosno dugorocnije ciljeve. Kratkorocniji planovi su izvesniji
u u tu svrhu menader na raspolaganju ima program, projekat, biznis
plan, dok u procesu na dugorocnije planove ima instrumente poput politike,
postupaka i pravila.
Izmedu doktrine i prakticne spoznaje menader je taj koji ispisao
stanje pretvara u stvarnost. Susretanje sa nekim problemima nije više
pitanje nauke vec veštine donosioca odluka kako bi se što bolje
prilagodio ili eliminisao iste. Iako se mnoge stvari ne kriju ispisane
na stranicama planova, projekata i slicno, menader je taj koji na
sebe mora preuzeti odgovornost koja je utoliko veca ukoliko ima više
zaposlenih u organizaciji. Iz tih razloga proveravanje trišta,
informacija, dobri odnosi sa zaposlenima pretacu se u procese planiranja
kako bi se opravdalo postojanje, i funkcija preduzeca i njegovih aktivnosti.
Literatura :
1. Strategijski menadment – dr. Jovan Todorovic. dr. Dragan
Ðuricin, dr. Stevo Janoševic; Institut za trišna
istraivanja-Beograd 2000. godina
2. Organizacija – dr. M. Petkovic. dr. N. Janicijevic, dr. B.
Bogicevic-Milic. Beograd 2004.godine.
3. Menadment – Ed Frimen, Danil Gilbert, Dejm Stoner.
4. Internet
PROCITAJ
/ PREUZMI I DRUGE SEMINARSKE RADOVE IZ OBLASTI:
|
|
preuzmi seminarski
rad u wordu » » »
Besplatni Seminarski
Radovi
SEMINARSKI RAD
|
|