|
Politika investiranja
Cilj
svakog preduzeca je da odri likvidnost i da napreduje, tj. da se
razvija. To razvijanje je moguce putem investiranja. Investranje moe
biti u proizvodnji, u vidu nove tehnologije, novog proizvoda itd. A pored
takvog vida investiranja postoji i investiranje preduzeca u vrednosne
papire finansijskog trišta cime ostvaruje zaradu. Investicije
imaju svoj mikro i makro aspekt.
Za potrebe investicione analize i investicionog menadmenta, odnosno
ocene i rangiranja projekta od posebne je vanosti klasifikacija
na nezavisne i medjusobno iskljucive investicione projekte. U teoriji
i praksi su prisutna dva osnovna pristupa procenjivanju i merenju finansijskih
koristi ili efekta investicionih projekata : tradicionalni ili racunovodstveni
pristup i savremeni ili finansijski pristup.
Investiciona odluka ce biti ili prihvatanje ili odbacivanje predloga na
osnovu 4. metode odredjivanja potrebnog kapitala: metode procene stope
povracaja ; metode perioda povracaja ; metoda interne stope povracaja
i metoda neto sadašnje vrednosti.
Metoda procene stope povracaja predstavlja odnos prosecnog godišnjeg
profita posle oporezivanja i investicije u projekat.
Metode perioda povracaja uzimaju u obzir velicinu i razgranicenja vremenskih
tokova novca u svakom periodu veka projekta. Metoda diskontovanih tokova
su interna stopa povracaja i metoda sadašnje vrednosti.
Metodom sadašnje vrednosti svi povracaji novca se diskontuju na sadašnju
vrednost, koristeci traenu stopu povracaja.
Indeks profitabilnosti projekta ili odnos korisnosti i troškovi,
odnos je sadašnje vrednosti i buducih priliva novca i pocetnih troškova.
U periodima inflacije preduzeca manje investiraju jer je smanjena stopa
povracaja a samim tim i smanjena motivisanost preduzeca.
Pri donošenju investicionih odluka svakako je prisutan rizik jer
se moe reci da je skoro nemoguce postojanje jedne precizne tabele,
kalkulacija koja bi okupila i obuhvatila sve nepreracunljive i nedokucive
uticaje i velicine koje mogu da uticu na ishod nekog projekta. Z
Zbog toga razrada unapredjivanja i predvidjanja treba da budu prevashodan
prioritet u procesu dolaenja do optimalne odluke.
1. Investiranje i investicija
Osnovni cilj svakog preduzeca sastoji se u ocuvanju egzistencije i obezbedjenju
permanentnog eljenog razvoja.
Preduzece nastoji da obezbedi sebi sadašnji i buduci opstanak, da
obezbedi kontinuitet sadašnjeg i buduceg efikasnog funkcionisanja.
Obicno se ovaj sintetizovan osnovni cilj preduzeca dalje precizira kroz
dva dopunska cilja:
- obezbedjenje kontinuiteta funkcionisanja, tj. obezbedjenje egzistencije
poslovnog sistema;
- obezbedjenje kontinuelnog nastavka efikasnog funkcionisanja, tj. obezbedjenje
kontinuelnog eljenog razvoja poslovnog sistema.
Svoj cilj preduzece pokušava da realizuje u sadašnjim uslovima
i sadašnjem vremenu, a imajuci u vidu bliu i dalju buducnost.
Pored obezbedjenja uslova za svoj trenutni opstanak , preduzece se nalazi
u situaciji da se razvija i taj razvoj je orijentisan dugorocno, definisan
kvalitativno. Preduzece definiše svoju dugorocnu razvojnu politiku
koja sadri njegove osnovne ciljeve i nacine realizacije istih. Ciljevi
investiranja i investiciona politika, kao direktna posledica ciljeva preduzeca,
zadrani su u dugorocnoj razvojnoj politici preduzeca. Sa druge strane,
samo konkretnim investicionim akcijama u okviru definisane investicione
politike, moe se zasnivati ostvarenje i razvoj politike preduzeca.
Kriterijum izbora investicija predstavlja meru valjanosti pojedinih investicionih
akcija, meru dostizanja postavljenih ciljeva investiranja i na osnovu
njega se odredjuje koju od raspoloivih investicionih akcija treba
realizovati.
Poput drugih ekonomskih fenomena investicije imaju svoj mikro i makro
aspekt. Na makro nivou to su razlicite varijante kapitalnog koeficijenta
kao odnosa izmedju investicija i proizvodnje, u finansijskoj literaturi
i praksi to su najcešce prosecni i marginalni kapitalni koeficijent.
Prosecni kapitalni koeficijent pokazuje koliko jedinica kapitala ( osnovnih
i obrtnih sredstava ), odnosno ukupnih investicija je angaovano
u stvaranju jedinica proizvodnje, dok marginalni kapitalni koeficijent
predstavlja odnos izmedju prirasta investicija i prirasta proizvodnje.
Investicioni menadment na mikro nivou, odnosno na nivou preduzeca
ima za cilj da ograniceni kapital za investiranje alocira na optimalne
svrhe, programe kako bi se maksimiziralo ostvarenje njegovih ekonomskih
ciljeva.
U uslovima razvijenog finansijskog trišta i pristupa preduzeca
tom trištu investiranje se mora shvatiti u širem smislu.
Pored investiranja u projekte, poslovne poduhvate u preduzecu, bilo u
modernizaciji postojece, bilo u novu proizvodnju, pogone, fabrike ili
delatnosti, i preduzece moe neangaovani slobodni kapital plasirati
i u vrednosne papire finansijskog trišta i tako ostvariti zaradu.
Investicije, kao sastavni deo ukupnosti procesa alokacije ekonomskih resursa
u vremenu, jedno su od najznacajnijih podrucja ekonomske teorije uopšte,
iz dve osnovne ekonomske karakteristike:
• ogranicenost i mogucnost alternativne upotrebe ekonomskih
resursa;
• buduci razvoj, kao pretpostavka poptunijeg zadovoljenja potreba
u buducnosti.
2. Investicioni projekti i investicioni kriterijumi
Investicioni predlozi ili projekti, kao alternativne mogucnosti internog
ulaganja unutar preduzeca, mogu se klasifikovati na:
- nove proizvodne ili proširenje postojecih;
- izmeštanje opreme ili objekata ;
- istraivanja i razvoj ;
- istrani radovi ;
- drugi projekti .
Za potrebe investicione analize i investicionog menadmenta, odnosno
ocene i rangiranja projekta od posebne je vanosti klasifikacija
na nezavisne i medjusobno iskljucive investicione projekte. Nezavisnim
projektima se smatraju oni koji ne konkurisu jedan drugome, odnosno ukoliko
izbor jednog projekta ne podrazumeva istovremeno odbacivanje drugog. Nasuprot
tome, medjusobno iskljucivi projekti se medjusobno iskljucuju, tako da
izbor jednog projekta znaci automatsko odbacivanje drugog.
Kapitalna ulaganja involviraju :
- generisanje investicionih predloga ;
- procenu novcanih ili tokova gotovine za te predloge ;
- vrednovanje novcanih tokova ;
- selekciju projekta baziranu na prihvacenim kriterijumima ;
- kontinuirano ponovno vrednovanje investicionih projekata nakon njihovog
prihvatanja.
Svaka od navedenih aktivnosti odnosno korektnost njenog sprovodjenja poboljšava
objektivnost i kvalitet investicionog upravljanja i šansu za izbor
optimalnog plasmana kapitala.
U teoriji i praksi su prisutna dva osnovna pristupa procenjivanju i merenju
finansijskih koristi ili efekta investicionih projekata :
- tradicionalni ili racunovodstveni pristup ;
- savremeni ili finansijski pristup.
Prvi podrazumeva projekciju godišnjeg finansijskog rezultata ekonomskom
veku projekta i njihovo kompariranje sa uvoenim sredstvima –
kapitala. Iskaivanje rentabilnosti ulaganja na ovaj nacin zavisi
od korišcenih izvora i njihove kombinacije, i od toga da li se ona
iskazuje na osnovu bruto ili neto dobitka.
Savremena finansijska teorija je stoga promovisala, praksa prihvatila
pristup iskazivanja efekata investicionih projekata preko njihovog dejstva
na novcane tokove.
Prednost neto novcanog toka, odnosno finansijskog pristupa neto novcanim
tokovima, u odnosu na racunovodstveni, bazirana na njegovom diferencijalnom
dobitku su:
- razumljivost donosioca odluka, cak i onima koji nisu dovoljno finansijski
obrazovani ;
- determinisanost buduce investicione aktivnosti preduzeca upravljaju
neto novcanim tokovima.
Ovde ce se ukazati samo na osnovne elemente projekcije novcanih tokova
u funkciji proracuna i vrednovanja efekata investicionih programa koja
cine:
- inicijalno, kao i svako kasnije kapitalno ulaganje u realizaciju
datog projekta kao novcani odliv ;
- neto povecanje buduceg toka gotovine koje se ocekuje od projekta , odnosno
tok godišnjih finansijskih koristi u ekonomskom veku projekta ;
- iznos gotovine koji ce biti oslobodjen kada se projekat likvidira po
sistemu svog veka trajanja kao novcani priliv .
Kao osnovni investicioni kriterijumi u finansijskoj literaturi se navode
cena kapitala i standardna stopa prinosa .
Cena kapitala kao investicioni kriterijum bazira na nespornoj cinjenici
da kapital bez obzira na njegove izvore ima svoju cenu na zdravo –
razumskoj logici da vredi ulagati ako ce ocekivana zarada po osnovu drugih
realno raspoloivih alternativnih investicionih mogucnosti. Pri tome,
utvrdjivanje cene kapitala preduzeca je od suštinskog znacaja za
svako preduzece samo u funkciji investicionog kriterijuma, nego optimalnog
komponovanja njegove finansijske strukture .
Za razliku od cene kapitala, standardne stope prenosa na uloena
sredstva su više empirijski zasnovan kriterijum, koji uprkos tome
ima dosta raširenu prakticnu primenu. Kao standardne stope prinosa
susrecu se ili koriste :
- eljena stopa prinosa na nova ulaganja ;
- stvarna stopa prinosa na postojeca ulaganja ;
- prosecna stopa prinosa za datu privrednu granu ;
- ciljna stopa prinosa na postojeca ulaganja
3. Metode procene
Investiciona odluka ce biti ili prihvatanje ili odbacivanje predloga na
osnovu 4. metode odredjivanja potrebnog kapitala:
1. metode procene stope povracaja ;
2. metode perioda povracaja ;
3. metoda interne stope povracaja ;
4. metoda neto sadašnje vrednosti .
3.1. Procena stope povracaja
Ova obracunska mera predstavlja odnos prosecnog godišnjeg profita
posle oporezivanja i investicije u projekat. U prethodnom primeru nove
mašine, prosecna godišnja knjigovodstvena zarada za petogodišnji
period je 2100$, a pocetno ulaganje u projekat je 18000$ . Zbog toga:
Prosecna stopa povracaja = 2100/18000=11,76% .
Kada bi prihod bio varijabilan za posmatranih 5 godina , prosek bi bio
obracunat i ukljucen u brojilac. Jednom , kada je prosecna stopa povracaja
za investicioni predlog izracunata , moe se uporediti sa traenom
stopom povraaja da bi se odredjeni investicioni predlog prihvatio
ili odbacio .
Ako se pretpostavi da se ima 3 investiciona predloga , od kojih svaki
košta 9000$ , i od kojih svaki ima ekonomski i amortizacioni vek
3 godine i tako ce se ocekivati da ce svaki od 3 investiciona predloga
osigurati knjigovodstveni profit i tokove novca kroz naredne 3 godine
, sledi :

Svaki predlog ce imati istu prosecnu stopu povracaja 2999$/9000$ ili
22,22% , a ipak, retko ce koje preduzece posmatrati projekte kao jednako
povoljne . Najveci broj preduzeca dalo bi prednost projektu A koji osigurava
vece ukupne novcane koristi u prvoj godini. Zbog toga , prosecna stopa
povracaja ne udovoljava svim eljama kao metoda izbora projekta .
Razdoblje povracaja investicionog projekta govori o broju godina koje
su potrebne da se nadoknadi pocetno novcano ulaganje. To je odnos pocetnog
ulaganja i godišnjih novcanih prihoda u periodu povracaja. U primeru
to iznosi: Period povracaja = 18000/5700=3,16 godina.
Ako godišnji novcani prihodi nisu jednaki , posao oko izracunavanja
je nešto tei. Ako se pretpostavi da su godišnji novcani
prihodi u prvoj godini 4000$ , u drugoj i trecoj godini 6000$, a u cetvrtoj
i petoj godini 4000$, u prve tri godine 16000$ pocetnog uloga ce biti
vraceno a u cetvrtoj godini sledece 4000$. U odnosu na pocetno ulaganje
od 18000$, period povracaja je 3 godine + 2000$/4000$ ili 3,5 godina.
3.2. Interna stopa povracaja
Opšte je mišljenje da zbog razlicitih nedostataka stope internog
povracaja i metode perioda povracaja , metode diskontovanih tokova novca
osiguravaju objektivniju osnovu za ocenjivanje i izbor investicionih projekata.
Ove metode uzimaju u obzir velicinu i razgranicenja vremenskih tokova
novca u svakom periodu veka projekta. Metoda diskontovanih tokova su interna
stopa povracaja i metoda sadašnje vrednosti.
Treba podsetiti da je interna stopa povracaja investicionog predloga diskontna
stopa koja izjednacava sadašnju vrednost ocekivanih izdataka sa sadašnjom
vrednošcu ocekivanih primanja .
Oznacava se sa r, tako da :
gde je : Ai – povracaj novca u periodu t , bilo da se radi o troškovima
ili prihodima ,
n – period u kojem se ocekuje priliv novca .
Ako se prosecan novcani trošak dogadja u vremenu 0 , prethodni izraz
se moe prikazati kao :
Ao = A1/(1+r) +A2/(1+r)² + … + An /(1+r)n
Prema tome , r je stopa koja diskontuje buduce prilive novca – A1-An
da bi ih svela u pocetni trošak u periodu 0 . U primeru problem se
rešava na sledeci nacin :
1800 NJ = 5700/(1+r) + 5700/(1+r)² + 5700/(1+r)³ + 5700/(1+r)4
+ 5700/(1+r)5 .
Rešavajuci ovaj zadatak dolazi se do rešenja da je interna stopa
povracaja 17,57 % .
Kriterijum na osnovu kog se prihvata ili odbacuje projekat , jeste poredjenje
interne stope povracaja sa traenom stopom povracaja . Ako je interna
stopa veca od traene stope , projekat se prihvata , ako je manja
projekat se odbacuje . Ako je traena stopa 12% , primeni li se ovaj
kriterijum investicioni predlog koji je razmatran bice prihvacen . Prihvatanje
projekta cija je interna stopa povracaja veca od traene stope povracaja
, trebalo bi da rezultira povecanjem trišnih cena deonica ,
zbog toga što preduzece prihvata projekat sa povracajem vecim nego
što je zahtevano.
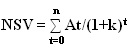
3.3. Neto sadašnja vrednost
Metoda interne stope povracaja i metoda sadašnje vrednosti kod koje
se diskontuju povracaji novca, imaju slican pristup u planiranju potrebnog
kapitala. Metodom sadašnje vrednosti svi povracaji novca se diskontuju
na sadašnju vrednost, koristeci traenu stopu povracaja. Neto
sadašnja vrednost za predloenu investiciju dobija se po obrascu
:
gde je : k- traena stopa povracaja .
Ako je zbir ovih diskontovanih tokova novca 0 ili više, predlog se
prihvata, ako je zbir manji od 0, predlog se odbacuje. Drugi nacin na
koji se moe izraziti kriterijum prihvatanja je sledeci: Projekat
ce biti prihvacen ako sadašnja vrednost novcanih prihoda bude veca
od sadašnje vrednosti novcanih rashoda. Pristup kriterijumima prihvatanja
u ovom slucaju je isti kao i princip kod interne stope povracaja. Ako
je traena stopa povracaja takva da osigurava povracaj koji investitori
ocekuju da ce preduzece zaraditi na investicionom projektu, a preduzece
prihvati predlog sa neto sadašnjom vrednošcu vecom od 0, trišna
cena deonica bi trebala da poraste. Preduzece ce prihvatiti projekat ciji
je povracaj sredstava veci od povracaja koji bi bio potreban da bi trisne
cene deonica ostale nepromenjene.
Ako se pretpostavi da je traena stopa povracaja posle oporezivanja
12% lako je utvrditi neto sadašnju vrednost u datom primeru pomocu
sledecih izraza :
NSV = -18000 + 5700/(1+0,12) + 5700/(1+0,12)² + 5700/(1+0,12)³
+ 5700/(1+0,12)4 + 5700/(1+0,12)5 = -18000 + 20547 = 2547$
3.4. Indeks profitabilnosti
Indeks profitabilnosti projekta ili odnos korisnosti i troškovi,
odnos je sadašnje vrednosti i buducih priliva novca i pocetnih troškova.
Izracunava se sa sledecim obrascem:
a za dati primer indeks profitabilnosti iznosi :
Pi = 20547 NJ / 18000 NJ = 1,14
Uvek dok je indeks profitabilnosti 1 ili veci, investicioni predlog je
prihvatljiv. Pri izracunavanju indeksa profitabilnosti izracunava se neto
indeks, a ne agregatni indeks. Agregatni indeks je odnos sadašnje
vrednosti novcanih prihoda i sadašnje vrednosti novcanih rashoda.
Neto indeks se koristi da bi se napravila razlika izmedju pocetnog troška
i kasnijih novcanih troškova .
4. Inflacija i odluke o investiranju
Dakle, postojanje inflacije rezultira manjom realnom stopom povracaja
i smanjenom motivacijom preduzece da investira kapital. Stanje priliva
novca poboljšao bi se uvodjenjem progresivne metode amortizacije.
Medjutim, prethodna tvrdnja bi dalje vredela. Preduzeca jednostavno u
vreme inflacije nisu motivisana. Tako investiraju manje, trae investicije
sa kracim periodom povracaja.
U proceni priliva novca vano je da preduzece uzme u obzir anticipiranu
inflaciju . Cesta je pretpostavka da ce u veku trajanja projekta nivo
cena ostati isti. Pristrasnost se javlja u procesu selekcije, jer je traena
stopa povracaja projekta obicno zasnovana na tekucim troškovima kapitala
, koji u sebi sadre premiju za anticipiranu inflaciju.
Izracunavanjem neto tokova novca na ovaj nacin dobija se isti rezultat
kao i ranije kada je nakon oduzimanja amortizacije utvrdjen neto prihod,
obracunati porezi na takav prihod i onda oduzet porez od godišnjih
ušteda da bi se dobio neto tok novca.
Matematicki izraz :
gde je : It – priliv novca u posmatranoj godini , Ot – trošak
novca u posmatranoj godini , t – posmatrana godina .
Rezultati su pristrasni iako u odredjenom smislu diskontna stopa obuhvata
elemente anticipirane buduce inflacije, dok procena tokova novca ne sadri
te elemente. Pretpostavka da postojeca stopa inflacije 10% i da se ocekuje
takvo kretanje u sledecih pet godina , znaci da ukoliko novcana primanja
i novcani izdaci rasli po toj stopi, neto sadašnja vrednost projekta
bi bila prema prethodnom izrazu 11056$.
5. Rizik pri investiranju
5.1. Rizik i neizvesnost kod investiranja
Odluke u vezi sa kapitalnim investicijama su prikazivane sve do ovog
koraka kao da su bez izuzetaka zasnovane na tacnom predvidjanju buducih
troškova i prihoda. Projektovana stopa prinosa u slucaju konkretno
datog predloga u tom slucaju proistice iz takvih cifara. U izloenim
primerima vek trajanja investicija je tacno preciziran. Malo je investicionih
projekata koji su ograniceni na precizno naveden ivotni vek izloen
u prvobitno datim u svrhu predvidjanja, pošto je bilo koja, odnosno
svaka odluka u vezi sa utroškom kapitala uvek podlona nepoznatom
razvoju dogadjaja u buducnosti. Razvoj buducih dogadjaja moe da
utice na trošak investicije, na tekuce troškove, na velicinu
trišta, pa prema tome i na konacan obim prodaje, kao i na cene
po kojima je moguce prodavati proizvode. Stoga se moe reci da je
skoro nemoguce postojanje jedne precizne tabele, kalkulacija koja bi okupila
i obuhvatila sve nepreracunljive i nedokucive uticaje i velicine koje
mogu da uticu na ishod nekog projekta, a poslovne odluke se ipak zasnivaju
na tipu jedne jednostruke stope prenosa. Receno ne znaci da su kriterijumi
evaluacije koji su korišceni i prikazani loše osmišljeni
i postavljeni. Oni na najbolji moguci nacin koriste informacije na kojima
se zasnivaju. Predstavljaju konvencionalan pristup ocenjivanja investicija,
procenjuju buduce ishode kao rezultat najbolje pogodjenog vremenskog rasporeda
buducih dogadjaja, nivoa buducih troškova i prihoda. Uz tako najbolje
pogodjene, predskazane jedinstvene stope prinosa rukovodilac moe
da primeni vlastito prosudjivanje izgleda predloenog troška
da preivi, opstane ili da donese profit. Drugim recima, naslucivanje,
odnosno nagadjanje i dalje igra kljucnu ulogu pri izboru investicija.
Bez obzira na to, istina je kad se kae, da je tokom poslednjih dvadeset
godina u vezi sa investicijama iskustveno prošlo kroz znatna unapredjenja
u metodama i tehnici evaluacije predloga. Medjutim, ta unapredjenja ne
odnose se na vremenski prilagodjene i podešene stope prinosa koje
uzimaju u obzir vremensku vrednost novca.
Pomenute izmene u metodi ipak nisu dovoljne same po sebi da obezbede najbolje
moguce alate za donošenje odluka pri analizi investicija u buducnosti.
Cak i ako se prihvati da je rasudjivanje iskusnog rukovodioca u stanju
da bude odriv kriterijum pri izboru izmedju alternativnih investicionih
zahvata, ono ipak nije dovoljno da mu omoguci da donese optimalnu odluku.
To moe da se postigne jedino znatnim iskustvom u vezi sa specificnim
tipovima investicija. Neko dovoljno istorijsko iskustvo u vezi sa konkretnim
predlozima za utrošak kapitala moe svakako da cini osnovu rasudjivanja
za procenjivanje slicnih projekata u buducnosti. Kad neko preduzece cesto
ulazi u male investicije, verovatnoca da ce konacne varijacije razlikovanja
izmedju predvidjenih i stvarnih vrednosti doci do uprosecavanja koje vai
za citav niz takvih projekata. U takvim slucajevima jedan jedinstveni
indikator prihvatljivosti i poeljnosti projekta moe biti dovoljan.
Sa druge strane, kad se od nekog projekta za izdatak kapitala ocekuje
da ce da izvrši uticaj na postojeci kapital preduzeca i na strukturu
njene aktive, ovim zakljuccima u vezi sa dovojnošcu jednog jedinstvenog
kriterijuma najboljeg predvidjanja ne moe da se prui podrška.
Velika je verovatnoca slabo i neuspešno stvarno odvijanje velikog
projekta da izvrši znatan uticaj na finansijsku uspešnost preduzeca.
Posledicno, dalje dividenski potencijal preduzeca i njegova trišna
snaga mogu da budu teško pogodjeni i ošteceni, pa prema tome
i snaga i sposobnost preduzeca da prikupi dalji dugorocni kapital namenjen
ekspanziji, mogu da pretrpe znatna ogranicenja. U slucaju predloga za
relativno veliki izdatak kapitala suštinski je neophodan veci broj
informacija u vezi s mogucim buducim ishodima i izgledima za efikasnost
projekta, u cilju boljeg dugorocnog korporativnog planiranja.
5.2. Unapredjivanje podataka za odlucivanje
Razrada unapredjivanja i predvidjanja treba da budu prevashodan prioritet
u procesu dolaenja do optimalne odluke. Sve dok je širenjem
trišnog istraivanja, na primer, ili ekstrapolacijom moguce
upravljati zabludne greške i nezavisnosti, te radnje treba preduzimati
i obavljati. Medjutim, isto kao što je cena ocenjivanja uvek bila
i ostaje glavna briga rukovodecih racunovodja, tako i troškovi prognoziranja
treba da se u odnosu na dodatnu korist koju proizvode. Tamo gde je neophodan
trošak da bi se dosegnulo minimalno uvecanje preciznosti prognoziranja,
moe i te kako da se pokae da je takav izdatak neophodan.
I ovde vecina rukovodilaca moe da navede primere optimalisticki
i pesimisticki raspoloenog procenjivanja. Jedan cešci korišcen
metod za suzbijanje skrivenih rizika i neizvesnosti javlja se tamo gde
donosilac odluke zahteva veci prinos od nekog predloga koji on licno smatra
rizicnim. Kada izgleda da u onim mnogim varijabilnim ciniocima koji odredjuju
rentabilnost nekog projekta mogu da su skrivene znatne nezavisnosti, podizanje
procentualnih izgleda da projekat bude odbijen, moda moe da
predstavlja nekakav štit za upuštanje u neizvesnost. Dobronamerno
objašnjenje, medjutim ovde glasi da je taj metod na neki nacin slab
pošto donosilac odluke nikada ne moe da zna velicinu finalnog
rizika koji prihvata, a ne moe i da zna pravu meru rizika kojima
se odupire, odnosno koje izbegava. Šta više, praksa neobrazloenog
podizanja stope odbacivanja moe da ogranici i suzi protok rentabilnih
prilika koje su neophodne za trajno postojanje i rast preduzeca.
Ispitivanje rezultata, studije ce ukazati na one procene koje su kriticne
za ishod datog predloga. Na osnovu toga mogu da se naglase one oblasti
u kojima je neophodno dalje istraivanje tacnosti i preciznosti prognoziranih
podataka. Dodatna panja posvecena tim oblastima koje su od vitalnog
znacaja za produktivnost predloga moe i te kako da omoguci poboljšanje
prognoze. U najmanju ruku te cifre bi trebalo da budu jedna cvršca
i pouzdanija osnova za donošenje zakljucaka. Prognoze date investicije
i konacna evaluacija investicija ce pruiti bolje informacije donosiocu
odluke, u skladu sa troškovima prognoziranja i raspoloivim
znanjem.
LITERATURA
1) Berze i berzansko poslovanje, dr. arko Ristic, dr. Slobodan
Komazec i drugi, za izdavaca Nenad Jelesijevic 2006. godine;
2) Ekonomija preduzetništva, Dr Radmila Grozdanivic, Dr Miroslav
Radojicic, Dr Jasmina Vesic, Tehnicki fakultet u Cacku, 2006.
3) INTERNET
PROCITAJ
/ PREUZMI I DRUGE SEMINARSKE RADOVE IZ OBLASTI:
|
|
preuzmi
seminarski rad u wordu » » »
"Besplatni
Seminarski Radovi"
SEMINARSKI
RAD
|
|